高中数学试题(高一数学很难吗?150分,全班及格的没有几个)
2022-08-28 13:37:16
摘要: 高中数学试题(高一数学很难吗?150分,全班及格的没有几个)...
如果一个班级上大部分不及格还是属于班级水准太差了,从高中数学内容来进行分析的话还是有几点原因的:
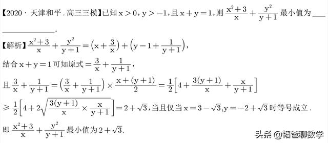
- 高中数学的知识逻辑推理考查较强,各知识点之间的关系性较大,是需要下很大功夫才能学好的;比如这道题
考查的分式变型以及基本不等式
- 题目的隐藏度很高,举例说明:函数章节的复合函数的单调性,最值这些问题,如果题目的条件是为了给学生考查A这个问题,但往往不会这么一种说法,而是告诉你C条件,学生通常需要通过C求解出B,再通过B得出A这个结果,也就是高中数学题目的隐藏性强,这就需要大量题目的练习来提高数学敏感度;
各种方法都可以解答,每个条件都可以用
- 任何一张高中数学试卷都会出现一些难题,所以考试时间的把控,难易程度不同的题目上时间的分配也是很关键的,比如最后的压轴题,常常做出来第一问就够了,第二问那是给学霸做的,普通学生看看就好,要学会取舍.
