初中数学考点归纳(初中数学知识点全面总结)
1、二次根式:二次根式包括了两大类:(Va)²型和V(a²)型。二次根式需要明白的一个重要问题是,根号下的都是大于等于0的(也就是说二次根式的值是大于等于0的)。一般会给人们出的题型,例如(Va)²=3和V(a)²=3求a值。
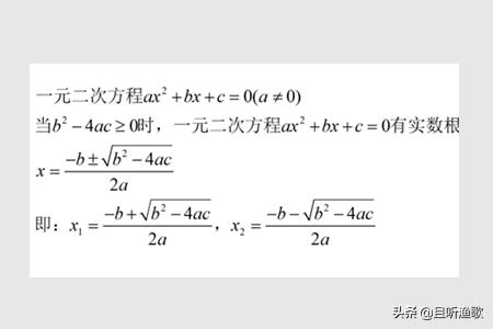
2、一元二次方程:表达式ax²+bx+c=0(a≠0)。也就是二次函数的变形,二次函数把y等于0时对求x的解。可以先直接使用△判断是否有解。再配方法求解。也可以直接使用求解公式x=(-b±V△)/2a(该公式是根据配方法推理出来的);进而得出x1+x2=-b/a;x1*x2=c/a。
3、二次函数(简称抛物线):函数的表达式:y=ax²+bx+c(a≠0);二次函数的几个重要性质必须熟记。①a决定抛物线开口方向②抛物线对称轴x=-b/2a③△=b²-4ac(△决定该二次函数与x轴交点个数)。
4、三角形相似:三角形相似可以这么理解,把三角形放大或缩小。那么前后这两个图形就叫相似。明白这点后再来理解相似三角形的定义 (1)相似三角形的对应角相等; (2)相似三角形的对应边成比例;在实际解题中一般会用到相似的传递性。例如有A和B相似,B和C相似,那么就有A和C相似。
5、概率:概率指的是针对随机事件发生的可能性的度量,通常是以一个在0到1之间的实数。一般说的是发生的可能性,初中概率问题主要为可能事件和独立事件。例如,现在简单的分析一下,连续抛两次硬币,出现两次都是正面的概率是多少?先抛一枚硬币,出现正面和背面的可能都是相等的1/2;而下一次抛硬币跟上一次是相互独立的。答案是:1/4。同学们通常就会陷入另一个文字问题,连续抛两次硬币,出现正面的概率是多少?答案是:1/2。
6、圆:圆的标准方程(x-a)²+(y-b)²=r²。在知道圆点和半价的情况下使用标准方程列出圆的函数表达式是比较直接的。这里主要说的是圆跟直线的关系。圆x²+y²+Dx+Ey+F=0(方程满足圆的条件:D²+E²-4F>0可以自行证明)和直线Ax+By+C=0,解题还是将圆转换为一元二次方程求解。即消x或者消y.然后根据变形后的一元二次方程的△,判定圆和直线的关系(△>0,圆与直线相交;△=0,圆与直线相切;△<0,圆与直线相离)
